236056.fig.00sch3
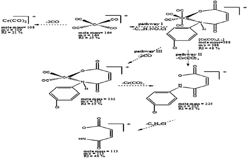
Scheme 3: The mass fragmentation pathways of the principle fragment ions of [Cr(CO)4L] chelate.